《典型交通事故形态车辆行驶速度技术鉴定》GA/T643—2006 中华人民共和国公共安全行业标准 中华人民共和国公安部 发布
前言 ………………………………………………………………………………………………………….....II
1 范围 ………………………………………………………………………………………………………....1
2 规范性引用文件 ……………………………………………………………………………………………1
3 术语和定义 …………………………………………………………………………………………………1
4 车辆行驶速度技术鉴定的要求 …………………………….………………………………………....1
5 典型交通事故形态车辆行驶速度技术鉴定方法 ……………………………………………..…………..1
5.1 汽车与汽车正面碰撞类型车辆行驶速度计算 …………………………………………………………...2
5.2 汽车与汽车追尾碰撞类型车辆行驶速度计算 …………………………………………………………...2
5.3 汽车与汽车直角侧面碰撞类型车辆行驶速度计算 ……………………………………………………...2
5.4 摩托车与汽车车身侧面碰撞类型车辆行驶速度计算 ……….……...…………………………………...3
5.5 汽车与二轮摩托车或自行车侧面碰撞类型车辆行驶速度计算 ….…………...………………………...3
5.6 汽车与自行车追尾碰撞类型车辆行驶速度计算 ………..……..……...………………………………...35.7 汽车与行人碰撞类型车辆行驶速度计算 ………………………..……………………………………..4
5.8 路外坠车类型车辆行驶速度计算 ………………………………..…………………………………......4
5.9 汽车撞固定物类型车辆行驶速度计算 …………..…………….…………………………………...…….4
附录 A(资料性附录)交通事故车辆行驶速度技术鉴定常用基础公式速查表 ……………..……………6
附录 B(资料性附录)典型交通事故形态车辆事故前瞬时速度计算方法 ……………………..……....…8
参考文献 …………………………………………………………………………………………………..…..15
前 言
本标准附录A、附录B为资料性附录。
本标准由公安部道路交通管理标准化技术委员会提出并归口。本标准负责起草单位:公安部交通管理科学研究所。
本标准参加起草单位:新疆石河子市公安交通科研所、清华大学汽车研究所、浙江省公安厅交通警察总队。
本标准主要起草人:龚标、张爱红、张彦辉、袁泉、赵斌、王长君、崔小平、王界茂、史占彪。
典型交通事故形态车辆行驶速度技术鉴定
1 范围
本标准规定了典型交通事故形态车辆行驶速度技术鉴定的要求,给出了典型交通事故形态车辆行驶速度的鉴定方法。
本标准适用于公安机关交通管理部门指派或委托的专业技术人员、鉴定机构对车辆行驶速度的技术鉴定。
2 规范性引用文件
下列文件中的条款通过本标准的引用而成为本标准的条款。凡是注日期的引用文件,其随后所有的修改单(不包括勘误的内容)或修订版均不适用于本标准;然而,鼓励根据本标准达成协议的各方研究是否可使用这些文件的最新版本。凡是不注日期的引用文件,其最新版本适用于本标准。
GA40 交通事故案卷文书
3 术语和定义
下列术语和定义适用于本标准。
3.1 纵滑附着系数 adhesion coefficient for longitudinal slippage
辆行驶过程中,轮胎在路面上纵向滑移时的附着系数。
3.2 横滑附着系数 adhesion coefficient for transverse slippage车辆行驶过程中,
轮胎在路面上横向滑移时的附着系数。
3.3 有效碰撞速度 equivalent collision speed
从交通事故车辆发生碰撞至各车达到相同速度时各车辆所产生的速度变化。
3.4 制动协调时间 brake harmony time
在急踩制动时,从脚接触制动踏板(或手触动制动手柄)时起至车辆减速度(或制动力)达到充分发出的平均减速度(或制动力)的 75%时所需的时间。
4 车辆行驶速度技术鉴定的要求
4.1 鉴定应当依法进行。
4.2 鉴定机构(鉴定人)应具备相应的资质,并在省级人民政府公安机关交通管理部门备案。
4.3 鉴定委托单位应向鉴定机构(鉴定人)出具车辆行驶速度鉴定委托书,鉴定委托书应符合GA40的要求。并提供交通事故现场图、勘查笔录等现场勘查相关材料。
4.4 鉴定机构(鉴定人)认为有必要勘验交通事故现场和事故车辆的,鉴定委托单位应予协助。
4.5 鉴定机构(鉴定人)应出具车辆行驶速度鉴定书,鉴定书应符合GA40的要求。
5 典型交通事故形态车辆行驶速度技术鉴定方法
交通事故车辆行驶速度技术鉴定常用基础公式见附录 A。
5.1 汽车与汽车正面碰撞类型车辆行驶速度计算
5.1.1 正面碰撞是汽车与相向行驶中的汽车迎面发生的碰撞。见图 1。
5.1.2 根据汽车碰撞地点至停止地点的滑移距离,依据能量守恒定律,可以计算出两车碰撞后的瞬时速度。
5.1.3 根据任一车辆塑性变形量与有效碰撞速度的关系式和动量守恒定理关系式,计算出两车碰撞前的瞬时速度。
5.1.4 如汽车碰撞前无滑移痕迹,则碰撞前的瞬时速度可视为等于车辆行驶速度;如汽车碰撞前有滑移痕迹,则进一步根据滑移距离计算出车辆行驶速度。
5.1.5 轿车与轿车正面碰撞类型车辆碰撞前的瞬时速度计算可以参见附录B表B.1中1的推荐计算方法。
图1 汽车与汽车正面碰撞示意图
5.2 汽车与汽车追尾碰撞类型车辆行驶速度计算
5.2.1 追尾碰撞是汽车前部与前方汽车尾部的碰撞。见图2。
5.2.2 根据碰撞车和被碰撞车从碰撞地点至停止地点的滑移距离或滚动距离,依据能量守恒定律,可以计算出两车碰撞后的共同速度。
5.2.3 根据被碰撞车变形量与有效碰撞速度的关系式和动量守恒定理关系式,计算出两车碰撞前的瞬时速度。
5.2.4 如汽车碰撞前无滑移痕迹,则碰撞前的瞬时速度可视为等于车辆行驶速度;如汽车碰撞前有滑移痕迹,则进一步根据滑移距离计算出车辆行驶速度。
5.2.5 轿车与轿车追尾碰撞类型车辆碰撞前的瞬时速度计算可以参见附录B表B.1中2的推荐计算方法。
图2 汽车与汽车追尾碰撞示意图
5.3 汽车与汽车直角侧面碰撞类型车辆行驶速度计算
5.3 汽车与汽车直角侧面碰撞类型车辆行驶速度计算
5.3.2 根据两车从碰撞地点至停止地点的滑移距离,依据能量守恒定律,可以计算出两车碰撞后的瞬时速度。
5.3.3 根据两车行驶方向上的动量守恒定理方程式,计算出两车碰撞前的瞬时速度。
5.3.4 如汽车碰撞前无滑移痕迹,则碰撞前的瞬时速度可视为等于车辆行驶速度;如汽车碰撞前有滑移痕迹,则进一步根据滑移距离计算出车辆行驶速度。
5.3.5 汽车与汽车直角侧面碰撞类型车辆碰撞前的瞬时速度计算可以参见附录B表B.1中3的推荐计算方法。
图3 汽车与汽车直角侧面碰撞示意图
5.4 摩托车与汽车车身侧面碰撞类型车辆行驶速度计算
5.4.1 摩托车与汽车车身侧面碰撞示意图见图4。
5.4.2 根据汽车从碰撞地点至停止地点的滑移距离,依据能量守恒定律,可以计算出汽车碰撞后的瞬时速度。
5.4.3 汽车碰撞后侧向运动状态有改变时,可以根据摩托车与汽车行驶方向上的动量守恒定理方程式,计算出两车碰撞前的瞬时速度。
5.4.4 如汽车或摩托车碰撞前无滑移痕迹,则碰撞前的瞬时速度可视为等于车辆行驶速度;如汽车或摩托车碰撞前有滑移痕迹,则进一步根据滑移距离计算出车辆行驶速度
5.4.5 汽车碰撞后侧向运动状态有改变时,摩托车撞击汽车侧面类型车辆碰撞前的瞬时速度计算可以参见附录B表B.1中4的推荐计算方法;根据摩托车轴距减少量计算摩托车碰撞轿车侧面时碰撞前的瞬时速度可以参见附录B表B.1中5的推荐计算方法。
图4 摩托车与汽车车身侧面碰撞示意图
5.5 汽车与二轮摩托车或自行车侧面碰撞类型车辆行驶速度计算
5.5.1 汽车与二轮摩托车或自行车侧面碰撞示意图见图5。
5.5.2 根据二轮摩托车或自行车、汽车、驾驶人或乘坐人碰撞后的移动距离,依据能量守恒定律,可以计算出各自碰撞后的瞬时速度。
5.5.3 根据二轮摩托车或自行车与汽车行驶方向上的动量守恒定理方程式,计算出两车碰撞前的瞬时速度。
5.5.4 如汽车或二轮摩托车碰撞前无滑移痕迹,则碰撞前的瞬时速度可视为等于车辆行驶速度;如汽车或二轮摩托车碰撞前有滑移痕迹,则进一步根据滑移距离计算出车辆行驶速度。
5.5.5 汽车与二轮摩托车或自行车质心侧面碰撞类型车辆碰撞前的瞬时速度计算可以参见附录B表B.1 中6的推荐计算方法;汽车与二轮摩托车或自行车质心的前侧侧面碰撞类型车辆碰撞前的瞬时速度计算可以参见附录B表B.1中7的推荐计算方法。
图5 汽车与二轮摩托车或自行车侧面碰撞示意图
5.6 汽车与自行车追尾碰撞类型车辆行驶速度计算
5.6.1 汽车与自行车追尾碰撞示意图见图6。
5.6.2 根据自行车、汽车、骑车人碰撞后的移动距离,依据能量守恒定律,可以计算出各自碰撞后的瞬时速度。
5.6.3 依据汽车行驶方向上的动量守恒定理关系式,计算出汽车碰撞前的瞬时速度.
5.6.4 如汽车碰撞前无滑移痕迹,则碰撞前的瞬时速度可视为等于车辆行驶速度;如汽车碰撞前有滑移痕迹,则进一步根据滑移距离计算出车辆行驶速度。
5.6.5 汽车与自行车追尾碰撞类型车辆碰撞前的瞬时速度计算可以参见附录B表B.1中8的推荐计算方法。

图6 汽车与自行车追尾碰撞示意图
5.7 汽车与行人碰撞类型车辆行驶速度计算
5.7.1 汽车与行人碰撞示意图见图7。
5.7.2 汽车撞行人时,行人对汽车的影响较小,可根据汽车碰撞后的滑移距离或滚动距离,依据能量守恒定律,计算出汽车碰撞前的瞬时速度。
5.7.3 如碰撞后行人被抛出,可近似认为汽车行驶速度等于人体被抛出速度。可根据碰撞后人体被抛出的距离,依据能量守恒定律,计算出人体被抛出的速度,即汽车碰撞前的瞬时速度。
5.7.4 如汽车碰撞前无滑移痕迹,则碰撞前的瞬时速度可视为等于车辆行驶速度;如汽车碰撞前有滑移痕迹,则进一步根据滑移距离计算出车辆行驶速度。
5.7.5 碰撞后行人被抛出时,汽车与行人碰撞类型车辆碰撞前的瞬时速度计算可以参见附录B表B.1中9的推荐计算方法。
图7 汽车与行人碰撞示意图
5.8 路外坠车类型车辆行驶速度计算
5.8.2 汽车从悬崖上或陡坡上坠落时,以一定的初速度冲出路外,并沿抛物线轨迹在空中飞行一段距离后落地。
5.8.3 根据汽车坠落后的移动距离和悬崖或陡坡高度,依据能量守恒定律,计算出汽车坠落前的瞬时速度。
5.8.4 如汽车坠落前无滑移痕迹,则坠落前的瞬时速度可视为等于车辆行驶速度;如汽车坠落前有滑移痕迹,则进一步根据滑移距离计算出车辆行驶速度。5.8.5 汽车第一落地点为坡底时,路外坠车类型汽车坠落前的瞬时速度计算可以参见附录B表B.1中10的推荐计算方法。

图8 汽车路外坠车示意图
5.9 汽车碰撞固定物类型车辆行驶速度计算
5.9.1 汽车碰撞固定物示意图见图9。
5.9.2 依据能量守恒定律,计算出汽车碰撞前的瞬时速度。
5.9.3 如汽车碰撞前无滑移痕迹,则碰撞前的瞬时速度可视为等于车辆行驶速度;如汽车碰撞前有滑移痕迹,则进一步根据滑移距离计算出车辆行驶速度。
5.9.4 轿车碰撞固定物类型碰撞前的瞬时速度计算可以参见附录B表B.1中11的推荐计算方法。
5.9.5 汽车碰撞障碍物后翻车,可根据翻车车身在地面上的滑移距离计算翻车前的瞬时车速,参见附录B表B.1中12的推荐计算方法;汽车翻滚或跳跃前的瞬时车速计算可以参见附录B表B.1中13的推荐计算方法。
图9 汽车碰撞固定物示意图
附录 A
(资料性附录)
交通事故车辆行驶速度技术鉴定常用基础公式速查表
交通事故车辆行驶速度技术鉴定常用基础公式如表A.1所示。
表A.1 交通事故车辆行驶速度技术鉴定常用基础公式
|
求解 |
已知条件 |
公式 |
|
给定时间内车辆在一段距离内行驶的平均速度 |
t:时间 s :距离 |
v = s/t |
|
车辆制动状态减速度 |
ϕ:车辆纵滑附着系数 k:车辆附着系数修正值 |
a =ϕgk |
| 根据车辆碰撞地点至停止地点的距离,依据能量守恒定律, 计算车辆碰撞后的瞬时速度 |
a:车辆制动减速度
s :距离
|
v = 2as(根号) |
| 根据一个已知速度求车辆在加速之后的终速度 |
v:已知速度 a:车辆加速度 |
v = v2 +2as(根号) |
| 在有利于车辆转弯的倾斜道路上转弯时车辆的侧翻临界速度 |
r :转弯半径 ϕ :横滑附着系数 θ :道路横向倾斜角 g :重力加速度 |
![]() |
|
车辆在水平道路上侧翻的临界速度 |
r :转弯半径 d :轮距 h :车辆质心高度 g :重力加速度 |
![]() |
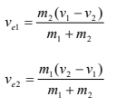
| 有效碰撞速度 |
m1:车辆1的质量 m2 :车辆2的质量 1 v :车辆1在碰撞前的瞬时速度 2 v :车辆2在碰撞前的瞬时速度 |
![]() |
| 轿车正面碰撞有效碰撞速度 | x :轿车的塑性变形量 |
v = 105.3x / 3.6 |
| 轿车追尾碰撞有效碰撞速度 |
x :轿车的塑性变形量 m1、 m2 :碰撞车、被碰撞车的质量 |
![]() |
| 动量守恒定理关系式 |
m1、 m2 :车辆1、2的质量 V1、 V2 :车辆1、2碰撞前的瞬时速度 V1 、 'V2 :车辆1、2碰撞后的瞬时速度 |
m1 v1 + m2v2 = m1 v 1+ m 2v2 注:此公式为矢量关系式 |
|
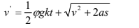
碰撞前有滑移痕迹时,由车辆碰撞前的瞬时速度计算车辆行 驶速度 |
v :车辆碰撞前的瞬时速度 t :制动协调时间 ϕ :车辆纵滑附着系数 k :附着系数修正值 a :车辆制动减速度 s :碰撞前车辆滑移距离 g :重力加速度 |
![]() |
| 注:本表中 v 单位为米每秒(m/s);t 单位为秒(s);s 单位为米(m);a 单位为米每二次方秒(m/s2);r 单位为米(m); d 单位为米(m); h 单位为米(m);m 单位为千克(kg);x 单位为米(m); g 取9.8m/s2。 | ||
附录 B
(资料性附录)
典型交通事故形态车辆事故前瞬时速度计算方法
典型交通事故形态车辆事故前瞬时速度推荐使用公式如表B.1所示。
表B.1 典型交通事故形态车辆事故前瞬时速度计算推荐使用公式表
| 序号 | 典型事故形态 | 车辆事故前瞬时速度推荐计算方法 |
| 1 | 轿车与轿车正面碰撞 |
式中: V2 、 V2—— 汽车碰撞前的瞬时速度,单位为千米每小时(km/h);m1 、 m2 —— 汽车质量,单位为千克(kg); ϕ1 、ϕ2 —— 汽车纵滑附着系数; K1 、 K2 —— 汽车附着系数修正值; S1 、S2—— 汽车碰撞后的滑移距离,单位为米(m); X1 —— 汽车塑性变形量,单位为米(m); g —— 重力加速度,取9.8m/s2。
注:上式中用到了轿车正面碰撞有效碰撞速度和塑性变形量的经验公式,实际工作中可以对其进行修正。碰撞后2车沿原有方向运动时,取“-”号;碰撞后2车随1车沿1车方向运动时,取“+”号。
|
| 2 |
轿车与轿车 追尾碰撞 |
式中: V1、 V2 —— 碰撞车、被碰撞车碰撞前的瞬时速度,单位为千米每小时(km/h);m1、 m2 —— 碰撞车、被碰撞车质量,单位为千克(kg); ϕ1 —— 碰撞车纵滑附着系数; K1—— 碰撞车附着系数修正值; S1、 S2—— 碰撞车、被碰撞车碰撞后的滑移距离,单位为米(m); f2 —— 被碰撞车的滚动阻力系数; X2 —— 被碰撞车塑性变形量,单位为米(m); g —— 重力加速度,取9.8m/s2. |
| 3 |
汽车与汽车 直角侧面碰 撞 |
式中: V1 、 V2—— 碰撞车、被碰撞车碰撞前的瞬时速度,单位为千米每小时(km/h);ϕ1 、ϕ2 —— 碰撞车、被碰撞车纵滑附着系数; K1、 K2 —— 碰撞车、被碰撞车附着系数修正值; S1 、 S2 —— 碰撞车、被碰撞车碰撞后的滑移距离,单位为米(m); m1 、 m2 —— 碰撞车、被碰撞车质量,单位为千克(kg); α 、 β —— 碰撞车、被碰撞车滑移偏向角; 3.6 —— 单位换算产生的系数; g —— 重力加速度,取9.8m/s2。 |
| 4 |
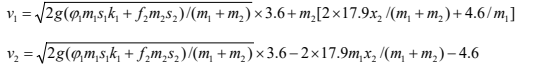
摩托车碰撞 汽车侧面且 汽车碰撞后 侧向运动状 态改变 |
V1 、V2—— 汽车、摩托车碰撞前的瞬时速度,单位为千米每小时(km/h); m1、m2、mp —— 汽车、摩托车、骑车人质量,单位为千克(kg); k —— 附着系数修正值; s —— 汽车碰撞后的滑移距离,单位为米(m); ϕ —— 汽车的纵滑附着系数; θ —— 被碰撞车滑移偏向角; 3.6 —— 单位换算产生的系数; g —— 重力加速度,取9.8m/s2。
|
| 5 |
摩托车碰撞 轿车侧面且 轴距减少 |
式中: v —— 摩托车碰撞前的瞬时速度,单位为千米每小时(km/h);m1 、 m2 —— 摩托车、轿车质量,单位为千克(kg); D —— 摩托车轴距减少量,单位为米(m);
g —— 重力加速度,取9.8m/s2。
注:上式为实验总结出的经验公式,实际工作中可以对其进行修正。 |
| 6 |
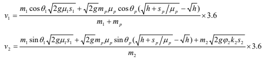
汽车与二轮 摩托车或自 行车质心侧 面碰撞 |
式中: V1 、 V2 —— 二轮摩托车或自行车、汽车碰撞前的瞬时速度,单位为千米每小时(km/h);m1、 m2 、 mp —— 二轮摩托车或自行车、汽车、骑车人质量,单位为千克(kg); K2 —— 汽车附着系数修正值; S1 、S2、 SP —— 二轮摩托车或自行车、汽车、骑车人碰撞后的滑移距离,单位为米(m); µ1 、ϕ 2 、 µ p —— 二轮摩托车或自行车车体与路面摩擦系数、汽车的纵滑附着系数、骑车人与 地面的摩擦系数; θ1、θ p —— 二轮摩托车或自行车、骑车人被抛出的角度; g —— 重力加速度,取9.8m/s2; h —— 碰撞时骑车人的质心高度,单位为米(m); 3.6 —— 单位换算产生的系数。 |
| 7 |
汽车与二轮 摩托车或自 行车质心的 前侧侧面碰 撞 |
式中: V1 、V2—— 二轮摩托车或自行车、汽车碰撞前的瞬时速度,单位为千米每小时(km/h);k —— 汽车附着系数修正值; s —— 碰撞后汽车的滑移距离,单位为米(m); ϕ —— 汽车的纵滑附着系数; θ —— 汽车滑移偏向角; 3.6 —— 单位换算产生的系数; g —— 重力加速度,取9.8m/s2。 |
| 8 |
汽车与自行 车追尾碰撞 |
式中: 1 v —— 汽车碰撞前的瞬时速度,单位为千米每小时(km/h);m1、 m2 、 mp —— 汽车、自行车、骑车人质量,单位为千克(kg); k —— 汽车附着系数修正值;
s —— 碰撞后汽车的滑移距离,单位为米(m);
ϕ —— 汽车纵滑附着系数;3.6 —— 单位换算产生的系数; g —— 重力加速度,取9.8m/s2。 |
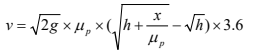
| 9 |
汽车与行人 碰撞且行人 碰撞后被抛 出 |
式中: v —— 汽车碰撞前的瞬时速度,单位为千米每小时(km/h);µ p —— 人体与地面的摩擦系数; x —— 碰撞点与人体最后停止位置之间的距离,单位为米(m); h —— 碰撞时行人质心高度,单位为米(m); 3.6 —— 单位换算产生的系数; g —— 重力加速度,取9.8m/s2。 |
| 10 |
路外坠车且 汽车第一落 地点为坡底 |
式中: v —— 汽车坠车前的瞬时速度,单位为千米每小时(km/h);x —— 汽车坠落地点至停止地点的距离,单位为米(m); h —— 落下高度,单位为米(m); f —— 汽车坠落后与地面的滚动阻力系数; 3.6 —— 单位换算产生的系数; g —— 重力加速度,取9.8m/s2。 |
| 11 |
轿车撞固定 物 |
v = 67l 式中: v —— 汽车撞固定物前的瞬时速度,单位为千米每小时(km/h); l —— 汽车塑性变形量,单位为米(m)。 注:该式为国外实验得到的经验公式,实际工作中可对其进行修正。 |
| 12 |
汽车翻车后 车体在路面 滑行 |
式中: v —— 汽车翻车前的瞬时速度,单位为千米每小时(km/h);i —— 坡度,上坡取“+”号,下坡取“-”号; µ —— 车体与路面的摩擦系数; s —— 车体在路面上的滑移距离,单位为米(m); g —— 重力加速度,取9.8m/s2。 |
| 13 |
汽车撞障碍 物后翻滚或 跳跃 |
式中: v —— 汽车翻滚或跳跃前的瞬时速度,单位为千米每小时(km/h);为米(m); h —— 汽车跌落或上升的垂直距离,跌落时取“+”号,上升时取“-”号,单位为米(m)。 注:该式为实验得到的经验公式,实际工作中可对其进行修正。 |
B.2 常用基础数据采集方法
交通事故车辆行驶速度技术鉴定常用基础数据采集方法见B.2.1~B.2.8。
B.2.1 纵滑附着系数ϕ ,可在交通事故现场或者类似路面上实验测定;在不具备实验条件的情况下,也可以参照B.3选取,然后用 k 值修正。横滑附着系数 , ϕ 可以利用其与纵滑附着系数ϕ 的关系式 , ϕ =0.97ϕ +0.08,通过计算获得。
B.2.2 附着系数修正值 k ,全轮制动时 k =1,一前轮和一后轮制动时 k =0.5,只有前轮或后轮制动时 k 的取值视汽车形式而定,对于发动机前置前驱动的轿车在良好路面只有前轮制动时 k =0.6~0.7,而只有后轮制动时 k =0.2~0.3。
B.2.3 车辆碰撞后的滑移距离 s 为车辆的制动痕迹长度,可用卷尺、激光测距仪或近景摄影等方法测量,本标准中, s单位为米。
B.2.4 车辆的滚动阻力系数 f ,可以在交通事故现场或者类似路面实验测得,在不具备实验条件的情况下,也可以参照B.3选取。
B.2.5 车体与地面的摩擦系数 µ ,取值可以参照B.3选取。
B.2.6 路面坡度i ,可以用便携式制动性能测试仪或水平尺在交通事故现场测定。
B.2.7 滑移偏向角为车辆行驶方向与碰撞时车辆质心在路面上的投影点和停止时车辆质心在路面上的投影点连线的夹角,可利用勾股定理计算得出。
B.2.8 车辆塑性变形量的近似计算方法如下。
B.3 路面附着系数参考值表
路面附着系数参考值见表B.3.1~B.3.5。
表B.3.1 汽车纵滑附着系数参考值表
|
|
干 燥 | 潮 湿 | |||
| 48km/h 以下 |
48km/h 以上 |
48km/h 以下 | 48km/h 以上 | ||
|
混凝土路面 |
新铺装 | 0.80~1.00 | 0.70~0.85 | 0.50~0.80 | 0.40~0.75 |
|
路面磨耗较小 |
0.60~0.80 | 0.60~0.75 | 0.45~0.70 | 0.45~0.65 | |
| 路面磨耗较大 | 0.55~0.75 | 0.50~0.65 | 0.45~0.65 | 0.45~0.60 | |
| 沥青路面 | 新路 | 0.80~1.00 | 0.60~0.70 | 0.50~0.80 | 0.45~0.75 |
| 路面磨耗较小 |
0.60~0.80 |
0.55~0.70 | 0.45~0.70 |
0.40~0.65 |
|
| 路面磨耗较大 | 0.55~0.75 | 0.45~0.65 | 0.45~0.65 | 0.40~0.60 | |
| 焦油过多 | 0.50~0.60 | 0.35~0.60 | 0.30~0.60 | 0.25~0.55 | |
| 砂石路面 | 0.40~0.70 | 0.40~0.70 | 0.45~0.75 | 0.45~0.75 | |
| 灰渣路面 | 0.50~0.70 | 0.50~0.70 | 0.65~0.75 | 0.65~0.75 | |
| 冰路面 | 0.10~0.25 | 0.07~0.20 | 0.05~0.10 | 0.05~0.10 | |
| 雪路面 | 0.30~0.55 | 0.35~0.55 | 0.30~0.60 | 0.30~0.60 | |
|
滑行条件 |
摩擦系数 |
|
卡车的侧面车身在混凝土路面上滑行 |
0.3~0.4 |
|
翻车的轿车在混凝土路面上滑行 |
0.3 |
|
翻车的轿车在粗沥青路面上滑行 |
0.4 |
|
翻车的轿车在石子路面上滑行 |
0.5~0.7 |
|
翻车的轿车在干燥的草丛上滑行 |
0.5 |
|
车身外板对沥青路面 |
0.4 |
|
车身外板对泥土路面 |
0.2 |
|
车身外板对车身外板 |
0.6 |
|
翻倒摩托车的滑行 |
0.55~0.7 |
表 B.3.3 摩托车的纵滑附着系数参考值表
| 摩托车名 | 只后轮制动 | 前后轮都制动 |
| 本田 SLl25 | 0.31~0.40 | 0.53~0.67 |
| 丰田 3.50 | 0.36~0.43 | 0.62~0.72 |
| 丰田 XBS00R | 0.35~0.42 | 0.65~0.76 |
| BMW R900 | 0.3l~0.42 | 0.72~0.87 |
| Harley DavidsonFLH | 0.36~0.51 | 0.63~0.88 |
表B.3.4 着装人体与地面摩擦系数参考值表
|
|
男(体重71kg) |
女(体重44kg) |
| 沥青路面 | 约0.52 | 约0.44 |
|
混凝土路面 |
约0.42 |
约0.44 |
|
水泥路面 |
约0.32 |
约0.26 |
|
铺石路 |
约0.57 |
约0.5 |
|
粘土路面 |
约0.52 |
约0.48 |
|
海岸干燥沙地 |
约0.44 |
约0.5 |
|
海岸湿润沙地 |
约0.52 |
约0.56 |
|
碎石路面 |
约0.46 |
约0.5 |
|
修整过的草坪 |
约0.35 |
约0.36 |
|
未修整过的草坪 |
约0.46 |
约0.52 |
| 较高的草丛 | 约0.54 | 约0.56 |
| 较低的草丛 | 约0.56 | 约0.65 |
| 旱田 | 约0.58 | 约0.59 |
表B.3.5 汽车滚动阻力系数参考值表
|
路面状况 |
滚动阻力系数f |
|
良好的平滑沥青铺装路 |
约0.01 |
|
良好的平滑混凝土铺装路 |
约0.011 |
|
良好的粗石混凝土铺装路 |
约0.014 |
|
良好的石块铺装路 |
约0.02 |
|
修正好的平坦无铺装路 |
约0.04 |
|
修正不良的石块铺装路 |
约0.08 |
|
新的砂路 |
约0.12 |
|
砂或石质路 |
约0.16 |
|
松散的砂石或粘土道路 |
约0.2~0.3 |
[1] 国家科技部社会公益性研究项目038GS,道路交通事故鉴定技术研究报告
[2] 道路交通事故分析与再现,许洪国、何彪,警官教育出版社,2000
[3] 实用汽车事故鉴定学,(日)林洋,人民交通出版社,2001
[4] 交通事故力学鉴定教程,阳兆祥,广西科学技术出版社,2002
[5] 道路交通事故调查手册,(英)R.比亚特、R.瓦兹,人民交通出版社,1987
[6] 汽车事故工程,许洪国,人民交通出版社,2004
[7] 中华人民共和国道路交通安全法
[8] 中华人民共和国道路交通安全法实施条例
[9] 交通事故处理程序规定
[10] 公安机关办理行政案件程序规定
[11] 公安机关办理刑事案件程序规定
[12] GB7258-2004 机动车运行安全技术条件
[13] GB/T11797-2005 道路交通事故现场图形符号
[14] GA41-2005 道路交通事故痕迹物证勘验






首页
电话咨询